鞋材防水剂厂家分享鞋材化学黄变机理
鞋材黄变可根据诱发原因分为物理黄变和化学黄变两种。下面广州庄杰化工鞋材防水剂给大家分享鞋材黄变之化学黄变机理。
化学黄变的作用机理非常复杂。虽然大多数鞋材在研究设计时已充分考虑到耐热性和热稳定性,但相对于聚合物热反应,在保证光性能的前提下,光反应的能量利用效率远高于热反应。一般鞋材中存在一定量的光敏或热敏性杂质或组分,首先通过这些光敏或热敏成分吸收能量,再将能量转移给附近的弱键,弱键在高能量下容易产生化学键断裂,化学反应得以开始。例如高分子中的羰基、共轭结构就是光敏或热敏中心,起到吸收能量,转移能量的作用,或直接发生光热分解或加成反应。
广州庄杰化工鞋材防水剂了解到,化学黄变机理大致总结为三类:
1、共轭双键
聚合物中的高分子断链重组产生共轭双键,共轭双键数量达到10个以上时产生黄变。共轭双键是以C=C-C=C为基本单位,随着共轭度的增加,其紫外特性:最大吸收波长红移;如有荧光,其最大激发光波长红移,最大发射光波长红移;如有颜色的话,颜色逐步加深。具有共轭双键的化合物,相间的π键与π键相互作用(π-π共轭效应),生成大π键。由于大π键各能级间的距离较近电子容易激发,所以吸收峰的波长就增加,生色作用大为加强。因而鞋材中高分子材料产生过多的共轭双键则会产生黄变。

2、羰基
一般的鞋材都含C-H(碳氢)键,在氧的进攻下,C-H键变成C=O(羰基)键,而羰键吸收光线后表现为黄色。无论聚合物光热氧化反应环境怎么样,聚合物结构、体系等内因总是最关键的因素。不同结构的光热交联体系,其光热降解行为和机理可能各不相同。例如双酚A环氧丙烯酸酯固化体系中,该体系主要存在聚丙烯酸酯交联结构和给电子基团取代的芳环结构,其中聚丙烯酸酯链段上大量的酯羰基,在吸收短波紫外或光敏化用下,酯基发生至少两种形式的化学键裂解,即C-C键和C-O键断裂,裂解形成的自由基容易受到氧的攻击,进一步发生氧化分解,而双酚A链节单元发生光解产生深色的醌式结构和其他裂解、氧化产物,这导致鞋材黄度显著上升。
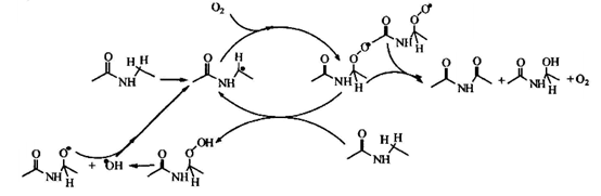
3、含氮基团物质分解,产生有色胺类物质
在脂肪族聚酰胺中,与N相邻的亚甲基上的C-H键比较容易受攻击,大部分氧化反应首先在这些亚甲基上开始,也有一些反应发生与酰胺基的羰基相邻的亚甲基上[1]。氧化产生的氢过氧化物进一步分成甲氧基自由基和醇类,醇类进一步分解成伯酰胺和乙醛,而伯酰胺容易被氧化变色。


以上就是鞋材黄变化学黄变三大机理介绍,广州庄杰化工专注鞋材防水剂的研发与生产,为鞋材企业提供鞋材防水剂解决方案,实现产品差异化竞争,让产品更具市场竞争力。






地址:广州市萝岗区九龙镇均和大街73号
电话:13902200874
固定电话:020-32058392
传真:020-32057561
邮箱:
粤公网安备 44011202001561号